
【やってみた】『辰巳天井』は本当か?ChatGPTとともに検証してみた
少し前に『ジブリの呪いは本当か?』という記事を公開しました。
やってみてスッキリしたようなモヤモヤしたような。
もう一つ気になってたのが『辰巳天井』というもの。
こちらはアノマリーではなく投資格言で、干支によって株価変動や上下に影響があるというものです。
厳密に言えば以下のようなもの。
「辰巳天井、午尻下がり、未辛抱、申酉騒ぐ、戌笑い、亥固まる、子は繁栄(繁盛)丑躓き、寅千里を走り、卯跳ねる」
(引用元:辰巳天井(コトバンク)https://kotobank.jp/word/%E8%BE%B0%E5%B7%B3%E5%A4%A9%E4%BA%95-689361)
上がるとか下がるとか盛り上がるとか荒れるとかそういう意味が含まれるようで、解説をいくつか読んでも解釈は様々。
じゃあ過去データを調べてどのくらい当たってるか見てみよう、というのがこの記事の主題です。
前提:データの範囲など
そのほかの前提条件を提示しておきます。
- データ:1965年から2024年の日経平均
- データはyfinanceライブラリから取得
- ちなみにyfinanceライブラリの最古のデータは1965年
- 1950年からのデータを指定したのですが、ダウンロードできたのは1965年からのデータ
- 年間データ、月間データを使用
- ちなみにyfinanceライブラリの最古のデータは1965年
- データはyfinanceライブラリから取得
- 使用言語:Python
- チャットGPT、Grok、Copilot使用
結論
結論はこんな感じ。
- 年間の変動率から見れば、半分は当たっていると解釈する余地はある
- 解釈にもよるが、半分くらいは格言通りといえるかもしれない
- 残り半分のうち、さらに半分は当たっているとは言い難い
- 残りの分は解釈が難しい
- 干支ごとの傾向:それなり上下動ある
- 動きやすい:酉・寅
- 穏やか:丑・戌
- 辰巳天井は本当
- 翌年の午年が落ちやすいのも含めて本当
- ただしデータ上は辰年の前の卯年から上がっているので解釈次第
- 本当に上がっているのは酉年
詳細なデータ
それでは、導き出されたデータを見ていきましょうか。
結論1:干支ごとの変動率
まず、干支ごとの変動率を調べました。
| 干支 | 変動率 (%) | 上下判定 | 格言 |
|---|---|---|---|
| 子 | 15.98% | 上 | 「繁盛(繁栄)」 |
| 丑 | -0.24% | 下 | 「躓き」 |
| 寅 | 2.26% | 上 | 「千里を走り」 |
| 卯 | 15.09% | 上 | 「跳ねる」 |
| 辰 | 13.95% | 上 | 「辰巳天井」 |
| 巳 | 14.92% | 上 | 「辰巳天井」 |
| 午 | -4.88% | 下 | 「尻下がり」 |
| 未 | 5.55% | 上 | 「辛抱」 |
| 申 | 4.31% | 上 | (申酉)「騒ぐ」 |
| 酉 | 21.84% | 上 | (申酉)「騒ぐ」 |
| 戌 | -0.59% | 下 | 「笑い」 |
| 亥 | 13.56% | 上 | 「固まる」 |
当たった???
これをチャットGPT、Grok、Copilotに読ませたところ「半分くらいは当たってる」という反応が多めでした。
当落判定はそれぞれのチャットAIによって違いますが、半分くらいは当たってるのでそれなりに当たってるし格言としては正しいような気もする一方で、当たりと言い切るにしては50パーセント程度だと当たり率が低いような気もします。
個人的には、丑年が「躓き」となっているのに-0.24パーセント程度で収まっていたり、戌年が「笑い」となっているのに笑えない-0.59%だったり、亥年が「固まる」という割に変動率は13.56%と高かったり、手放しに信じられるものではないなって感じもあります。
一方で子年が「繁盛(繁栄)」で15.98%としっかり上がっていたり、辰巳天井の年はともに大きい上昇だったりするのが印象的。
ちなみにこのデータは年間データをもとにしたものです。
結論2:各干支の変動グラフ
この格言ですが、干支によっては「年間の動きに言及しているのかな」と思うものもいくつかありました。
そうなると、干支ごとの年間の価格変動には特徴があるのかも見てみたい。
てなわけで、各干支の月間株価をグラフ化し、変動率や動きを視覚化しました。
以下は各月の変動率の折れ線グラフとボックスプロットによる変動数値の表示です。
ちなみにこちらは月間データをもとにしたものです。
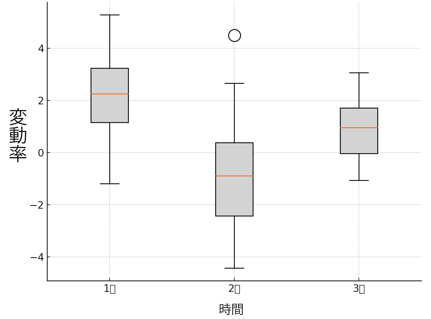
結論の前に:ボックスプロットって何?
今回はよくある折れ線グラフとボックスプロットを重ねたグラフを作成しました。
このボックスプロットとは何かというと、データの広がりや変動、外れ値をわかりやすく表示したグラフの一種です。
データの中心(中央値)・ばらつき・外れ値などを見やすくしたものです。
形はローソク足に似ているので、チャート分析が得意な人は分かりやすいかも。

特徴は、まず箱があり、その上にヒゲがあります。
この箱が分布を示しており、箱の上下でデータのばらつき度合いが分かります。
箱の中にある線が中央値。第二四分位数ともいうのですが、調べたら「第二四分位数=中央値」としているものと、否定している記事が出てきてどっちやねんとなっています。
箱の下線は第一四分位数といって、データの下位25%の位置を示します。
箱の上線は第三四分位数といって、データの上位25%の位置を示します。
上下のひげはそれぞれさらに上位25%・下位25%のデータがどのくらい散らばっているか、というもの。
ちなみにそこから外れた点(例の中では○)は外れ値と言って、極端な値やデータの異常を示すものです。株価であれば急激な変動があったといってもいいかもしれませんし、データ処理で誤りが生じている可能性も。
これらを見て、データの中央値・上位25%・下位25%・中央50%、それぞれのばらつきや変動率の大きさなどを知ることができます。
箱が広いほど変動が大きく、ひげが長いほど変動が大きいとされます。また、ひげの上下の長さの差によって、データの分布度合いも分かり、左右対称なのか・下寄り上寄りなども分かります。
上の画像であれば「1はそんなに変動は大きくなくて上下動も均等。2は箱よりひげのほうが長く上の方に点もあるので、大きな変動が予想される。3はひげも箱も狭いので、1や2と比べても穏やか」なんて解釈もできます。
別の見方をすれば「1は中央値が箱の真ん中あたりにあり安定して上昇、2は下落傾向で外れ値もあるようなので荒れぎみ、3は上昇傾向だが箱もひげも狭いので大げさに言えば無風」とも解釈できます。
結論2-1:子年「繁盛(繁栄)」
まずは子年。チューモクの格言は「子年繁盛(繁栄)」ですが、実際は。

子年は繁栄といえるかどうか……。
私個人の見立てでは上も下も大きく動いてんなあ、って印象です。ただ、上方向に動くことは多いので、割と動いている部類かなって感じです。
5月と11月に上の方に大きく動いているので、上方に動きやすいのが印象的でそういうふうに言われるようになったのでしょうか。年前半の1・3・5月は下方にも大きく動いているので、荒れているような印象がないこともないのですが。
先ほどの干支ごとの変動率は15.98%と、全体から見ても大きめの上昇幅でした。上昇率第2位。
……繁栄・繁盛ねえ。
子年だけに「ね(値)ずみ(済み)で上がる」と聞いたんですがね。
結論2-2:丑年「躓き」
次はは子年。格言は「躓き」とあってモー大変な年のイメージですが、実際は。

丑年は割とあたっているような気がします。
年明けいきなりマイナスな上に、中央値(ボックスプロットのオレンジの線)・変動率(折れ線グラフ)ともにマイナスのことが多いので。
先ほどの干支ごとの変動率は-0.24%と、小幅ながら下げ。
割と下がり気味な年なのですね。
ただ丑年だけに買う(Cow)のにはいいかもしれません。買うときは下落が怖くてブルッと震えるかも知れませんが、あとでウッシッシと笑えるかもしれない(笑)
結論2-3:寅年「千里を走り」
続いて寅年。格言は「千里を走り」です。一番意味わからんのがこれ。

「寅千里を走り」の意味がわからないのでチャットGPTに聞いたところ「寅年は勢いのある年」ということのよう。ただ、その勢いが上に行くとも下に行くとも限らず、ボラティリティの高い年といえるでしょう。
実際、上のグラフを見ると、3月は15%を超える急騰もあったけれど、8月は10%を超える下落の年もあったと判断できます。8月はボックスが下の方に長いので、やっぱりマイナス傾向。12月も8月ほどではないけれどした方向なので下目線でオッケーかと。
また、4月と6月はボックスプロットのボックスの上辺と下辺にそれぞれ中央値が来ているので、極端な数値が出たのではという感じもあります。
ただ、3月と11月の上昇は目を見張る物がある。下落が低く上昇が強い。おみごと!
先ほどの干支ごとの変動率は2.26%と、数字だけ見ると穏やかそうではあるものの、月間の変動を見ると上下動が激しい。数字のマジックで均されて、変動率がそれなりにとどまっています。
寅だけにトライしてみないとわからない年と言えますね。
上下動が激しいボラティリティのある年なので、トライ&エラーが必要かもしれません。
結論2-4:卯年「跳ねる」
それから卯年。格言は「跳ねる」ですが。

割とあたっている気がしますね。
変動率を見ている限りでは、年前半は変動がマイナスの月がないのでピョーンと飛び上がっているけれど、後半はすっ転んでいるような。なるほど最初に飛び上がって後半に着地するから、跳ねるといえば跳ねるだなあ。
ただ、跳ねるといっても8月くらいに着地失敗してすっ転んでいるように見えないこともない。あと10月は上下大きいのでどちらとも読めない感じ。ただそれでも12月には0%近くに収まっているので、体勢を立て直したのですね。
先ほどの干支ごとの変動率は14.92%で、上昇率第3位。ガッツリ上がって華やかな上昇の部類ではあるのですが。
卯年の格言はう、サギみたいなものなんかなと思ったんですが、意外とあたっている。
ラビットだけにビビッと来るものがあったら買ったほうが利益が出そうですね。ただ年前半は飛ぶので高値掴みに注意。それでも来年・再来年があるので、少し楽観視してもよさそうです。
結論2-5:辰年「辰巳天井」
そして辰年。格言は「辰巳天井」です。何がタツのかというと。

辰年はちゃんときれいに傾向が出ていますね。露骨に上向きです。
形としてはWの字を描いていて、下落が多い4・5・7月を除けば上昇基調。とくに4-5月はちょっと危険な香りもしますが、それ以外はほぼ上目線でいい感じ。
このグラフを見て「おっ!そういうことか!Σ(゚∀゚)」てなりました。6月は例年上下動があまりないといわれがちですが、上昇していると印象的ですし。
先ほどの干支ごとの変動率は13.95%と、ナイスな上昇幅。
辰年なのでやっぱり株価も立つんですね。年明け、年の終わりだけじゃなくて下がりやすいと言われる中間も上がっているので、インパクトのある年ともいえます。
ドラゴンだけにゴン上げかと思ったんですが、下げもそれなりにありますね。ただ、あんまり危惧しなくてもいいかもしれない。隆起する年でしょう。
結論2-6:巳年「辰巳天井」
続いて巳年。格言は辰年に続いて「辰巳天井」です。

巳年は上昇傾向ですね。全体的に、去年の上昇のあとをしっかり補う感じとでもいえばいいか。
というのも、ボックスプロットの中央値(オレンジの線)や変動率(青い折れ線グラフ)が上(プラス)のところが多い。
あと「セルインメイ」という投資アノマリーがあるじゃないですか。あれで想像するように、5月は落ちてるし7-9月は下落が大きく出るように、夏枯れ相場の傾向もしっかりあります。
これで3月と12月上昇傾向が出たら、私が想像した通りの辰巳天井だなって思ってしまいました。ただ、意外と3月と12月は穏やかだったりします。
先ほどの干支ごとの変動率は14.92%と、とても大きな上昇でした。
巳年だけに見ものの多い動きで、上昇方向に根固め感すらある。ヘビーな相場かと思ったら真逆でした。
ただ、下落もガッツリ起こるときは起こるようなので、シャークに障る相場となる場合もあるでしょう。蛇も夏バテするんですって。
結論2-7:午年「尻下がり」
そして午年。格言は「尻下がり」と。年間の株価の変動を表すような印象を持ちましたが。

……尻下がり?
実際は頭下がりでもあり、年半ばも下げですね。ボックスプロットを見ると下ヒゲが長い月が多く、1・6・11月の下ヒゲは印象的です。なので下がるときはゴリっと下がる印象もあります。特に1月は中央値もマイナス5%近くとかなりガッツリあるので、下落視線で良さそう。
なんかタチが悪いなと思ったのが、ボラティリティが低く穏やかな相場だということ。だら下げは利幅狙いもし辛いらしいので、短期トレード好きには厳しい年となりそうです。
先ほどの干支ごとの変動率は-4.88%と、上昇率はワースト。それでも、グラフを見るとそこまで最悪という感じがないのが不思議。
午年だけにうまくいくなんて話も聞こえますが、意外と利益を生まない年なのかも知れませんね。
逆にこの年の11月くらいに暴落があったら買いかもしれません。ただし長期目線で。優待とかもらって楽しく日本株を乗りこなす方がよさそうです。
結論2-8:未年「辛抱」
そして未年。格言は「辛抱」とちょっと辛口ですね。

ああ、辛抱ねえ、って感じの年ですね。
8月のボックスの下落幅、11月のボックスの下落幅も大きい。細かく見ていくと、箱が下にある所も多い。
例外は10月かな。極端な変動はなく、10月は一定範囲で収まりなおかつプラスだから。ひげもないので極端な価格変動もあまり見られず、上目線でいて良さそうです。12月もあてはまってはいますが、箱も狭く0%あたりなのではっきりと動きが無さそう。羊も冬眠かしらね。
また、ボックスの中央線(オレンジの線)を見ると、あまり大きく上にはありませんね。5月こそ5%くらいではありますが、それ以外は0%付近にとどまり、大きいマイナスではない月も多いので、動きも落ち着いてそう。
先ほどの干支ごとの変動率は5.55%と、割と穏やか。辛抱というのはもしかしたら上下動がないから、買い場も売り場も狙えないということでしょうか。
未年だけに銘々でなんとかする年かもしれませんね。
株価も牧場の羊みたいにの~んびりしているので、たまに狼さんに荒されるかもしれませんが、それを除けば穏やかな年です。
結論2-9:申年「(申酉)騒ぐ」
そして申年。格言は翌年の酉年と併せて「(申酉)騒ぐ」です。ウッキウキな年?

騒ぐってなんだろうと思ったら、どうも上下動が激しい・予測が立てにくい・急変動がある、というふうに言われています。
年前半は下ヒゲの印象が強いのですが、後半が調子いい傾向が見られます。6月の長い下落でちょっとビビるかもしれませんが、印象的なのは8月。夏枯れ相場と言われる中で上昇傾向が強く出ているのは良き。
ただ、上とも下とも言い難いような気がします。個人的には上目線だと楽観視しすぎかな、と思わないこともないのですが、一方で露骨に悲観するほどでもない。
先ほどの干支ごとの変動率は4.31%と、穏やかな上昇幅です。年の変動率だけだと「騒ぐ」の意味が分からないですが、グラフにしてもらうとある程度わかりやすい。
申年だけに利益が去る、なんてことにならないようにしたいところですね。
ボラティリティの多い年とも言われているので、ちょっとリスク管理に気を配る必要もあるのかも。悶々としてキーっとならないよう、きちんと銘柄管理を行いたいところです。
結論2-10:酉年「(申酉)騒ぐ」
さて、変動率トップの酉年。格言は引き続き「(申酉)騒ぐ」ですが。

ナイスな上昇ですね!
酉年は活況になることも多いといいますが、グラフを見ても上昇幅が凄まじい。
特に月間変動率の軸を見てください。下の方が短く、上の方が長い。この時点ですでに上の方に大きく動く年と言えます。また、3月・9月・12月という上昇しやすいとされる月はもちろん上がっていますし、9月からの年後半の上昇も期待できます。夏枯れ相場と言われる5-8月あたりもプラス圏。変動率も2月と11月以外はすべて上。
これは調子に乗って期待してもいいかも知れませんね。
先ほどの干支ごとの変動率は21.84%と、ナンバーワンの上昇幅。グラフも数値もステキ!
酉年だけにケッコーな相場と言えるでしょう。
巣にこもらず大胆に利益をトリに行く年と言えますね。上下動が大きいので、もしかしたら舞い上がる銘柄も多いんじゃないでしょうか。チキンにならず、大空に羽ばたくように利益を狙ってよいでしょう。
結論2-11:戌年「笑い」
そして戌年。格言は「笑い」ですが、笑える年かというと?

戌年はなんだかぼんやり下目線。昨年の調子の良さの反動なのかはわかりませんが、ぱきっと上に行く感じはありません。ボックスも変動率線も下目線。ぼやーっとしてたら損失が増えそうな年ともいえるでしょう。
下目線なのでなんかな、って年でもありますね。
先ほどの干支ごとの変動率は-0.59%と、全体から見ても少し下落傾向。極端に大きな変動ではないものの、下げ目線は正しいかと。
とはいえ、戌年自体は余り悪い印象はないようです。笑うってなってるくらいなのでね。
ただワンダフルな上昇を狙うのは、データ上では厳しいかなという感じ。ワンチャン狙うより、ケンジツに行くのが良さそうです。
結論2-12:亥年「固まる」
最後に亥年。格言は「固まる」とのこと。

亥年は固まる、という感じが否定できません。
特に5月の下落が印象的ではありますが、それ以外はひげがない月も多いので割と上下幅は狭めなのですね。
こういっちゃなんですが、固まるっていうのがわからないでもないです。上下動幅が狭く、なおかつグラフ自体も範囲はちっちゃいので。ボラティリティの狭さが印象的。
11月くらいから溶けていくのかな。
先ほどの干支ごとの変動率は13.56%と、かなり良い感じ。だけど「固まる」ですものねえ……。
小さな上昇を繰り返してこの上目線の変動率なのでしょうか。
亥年だけにいい年にしたいのですが、実際は停滞しやすいわけです。
イノシシは冬が得意な動物で、皮下脂肪も多く冬場は繁殖期なんだとか。逆に夏は苦手で、汗をかけないので朝夕の涼しい時間帯に行動するとのこと。ちょうど生態ともマッチしてますね。
その一方で「亥年は転換点になりやすく、翌年大相場が来ることも多い」とかなんとか。固まるというだけのことはあって、あまりにも動かなくて猪突猛進のトレードは厳しそうです。
まとめ
ということで、こんな感じの結果が出ました。
データを見ていると、今年は午年なので少し先が暗いかも。
一方で株のプロなら下がり相場にもそれなりに応対する方法を知っているでしょうし、人によっては長い下げトレンドでも全くなんともないって人もいるでしょう。
優待とか配当狙いの場合、超長期投資ガチホ民が多いでしょうから、あまり干支とか考えなくてもいいのが嬉しいところですね。
短期トレード勢はこう言うのでざっくりと今年はこんな年、というのが分かれば対策も立てやすいんじゃないでしょうか。
本当は正月に発表したかったんですけど、15日が小正月でギリギリでしょうから、とりあえずここまで。
今年も爆益を祈ります(*˘︶˘人) いい年にしましょうね!